Готовые домашние задания для школьников

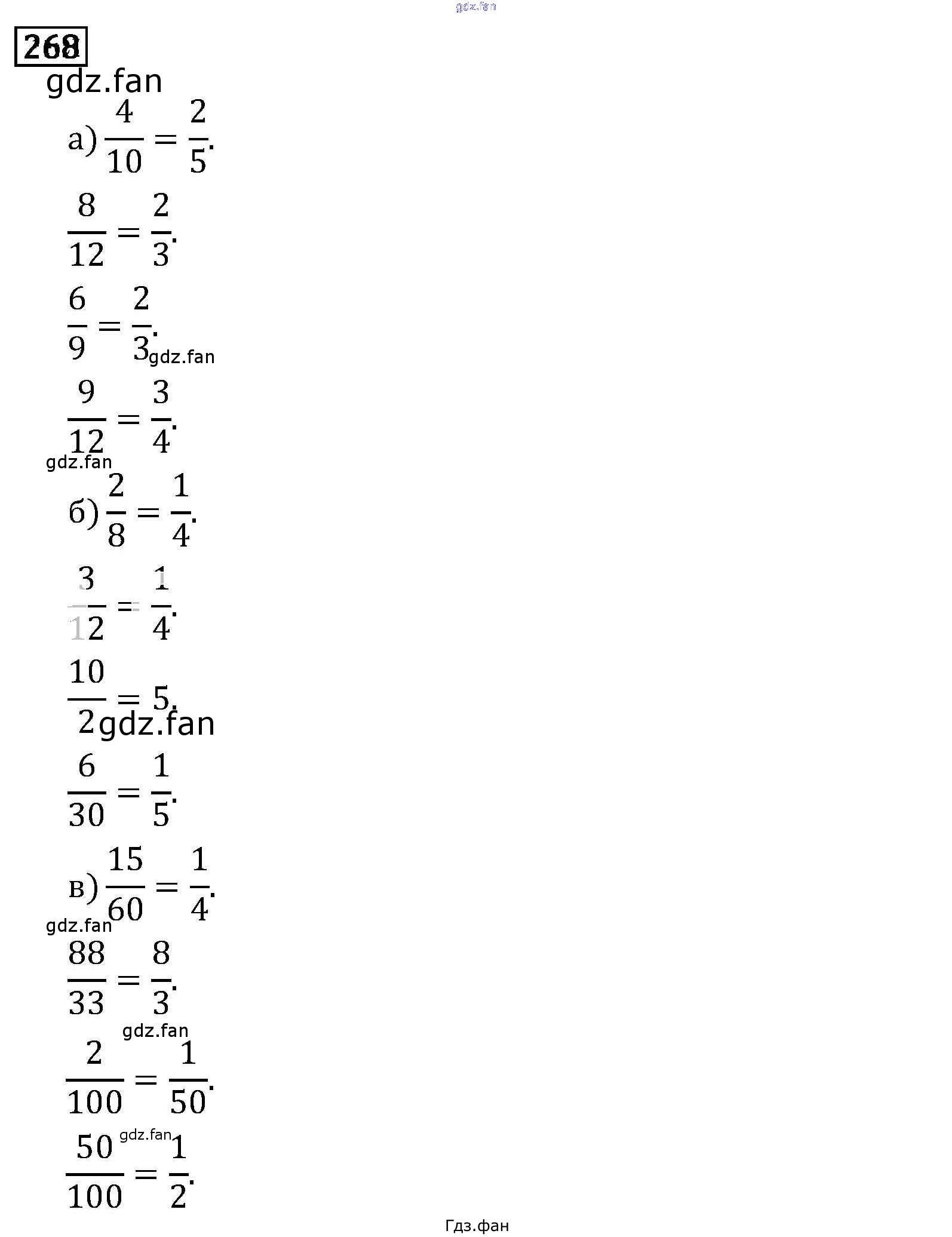
ГДЗ - онлайн ответы на 268 (стр. 42) Математика для 6 класса к Учебнику Виленкин, Жохов 2014

Проверка домашнего задания всегда занимает большое количество времени. На помощь приходит ГДЗ фан по Математике шестого класса. Здесь собраны популярные ответы на 268 (стр. 42) Математика 6 класс Виленкин Н.Я.