Готовые домашние задания для школьников

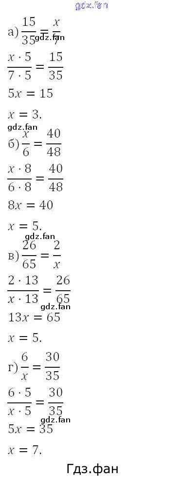
ГДЗ - онлайн ответы на 295 (стр. 56) Математика для 6 класса к Учебнику Виленкин, Жохов 2017

Проверка домашнего задания всегда занимает большое количество времени. На помощь приходит ГДЗ фан по Математике шестого класса. Здесь собраны популярные ответы на 295 (стр. 56) Математика 6 класс Виленкин Н.Я.(Новый учебник)