Готовые домашние задания для школьников

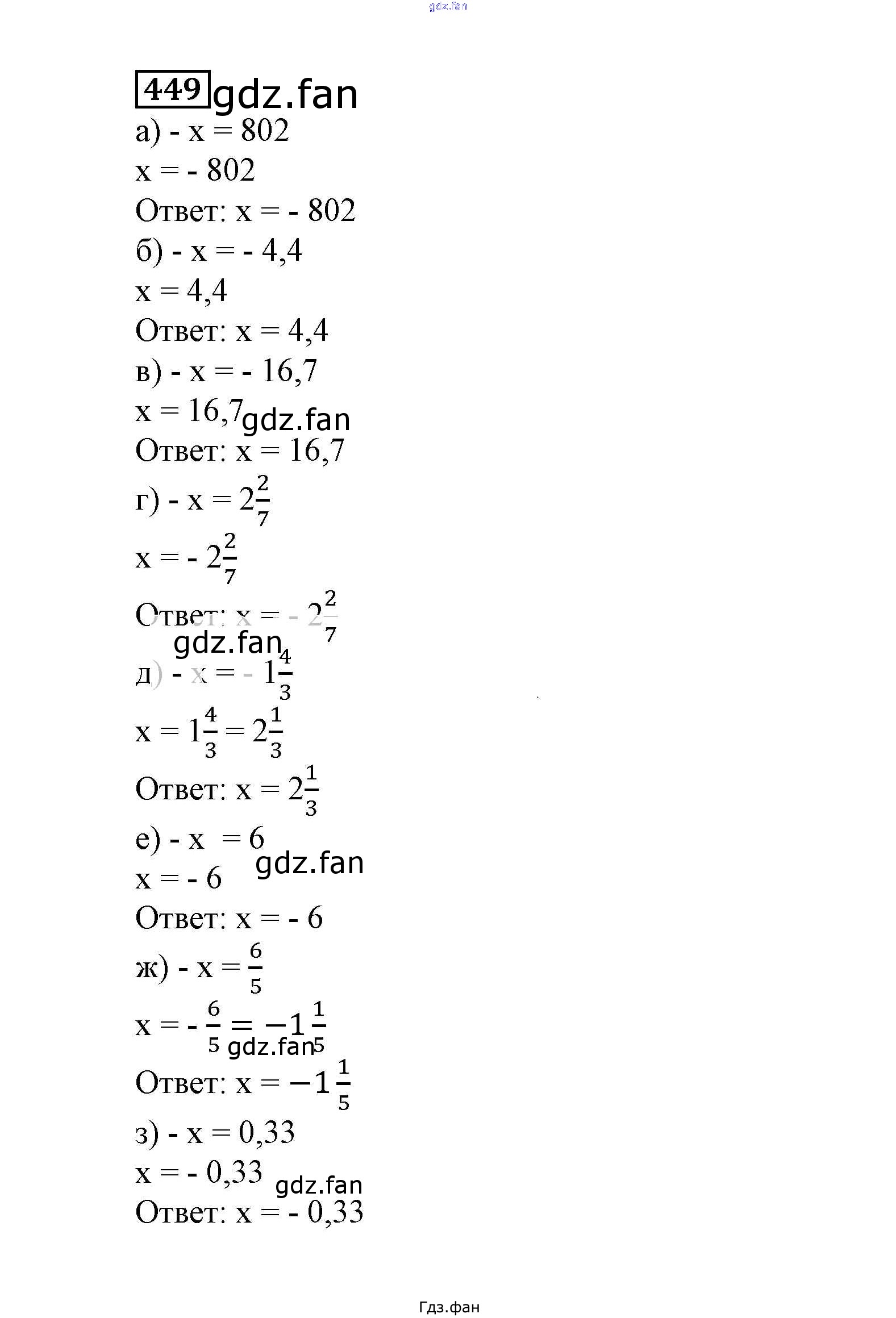
ГДЗ - онлайн ответы на 449 (стр. 106) Математика для 6 класса к Учебнику Истомина 2015

Проверка домашнего задания всегда занимает большое количество времени. На помощь приходит ГДЗ фан по Математике шестого класса. Здесь собраны популярные ответы на 449 (стр. 106) Математика 6 класс Истомина Н.Б.