Готовые домашние задания для школьников

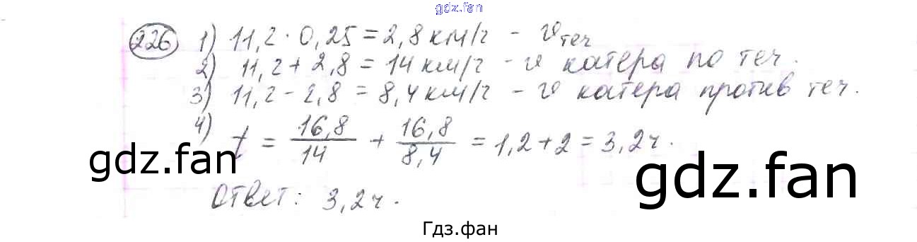
ГДЗ - онлайн ответы на 226 (стр. 58) Математика для 6 класса к Учебнику Учусь учиться Петерсон, Дорофеев 2014

Проверка домашнего задания всегда занимает большое количество времени. На помощь приходит ГДЗ фан по Математике шестого класса. Здесь собраны популярные ответы на 226 (стр. 58) Математика 6 класс Петерсон Л.Г.