Готовые домашние задания для школьников

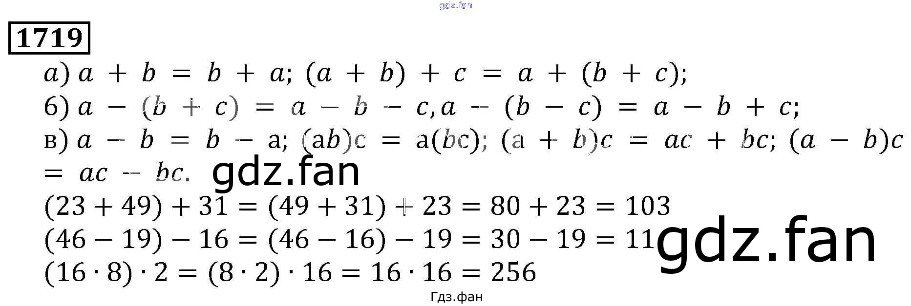
ГДЗ - онлайн ответы на 1719 (стр. 261) Математика для 5 класса к Учебнику Виленкин, Жохов 2013

Проверка домашнего задания всегда занимает большое количество времени. На помощь приходит ГДЗ фан по Математике пятого класса. Здесь собраны популярные ответы на 1719 (стр. 261) Математика 5 класс Виленкин Н.Я.