Готовые домашние задания для школьников

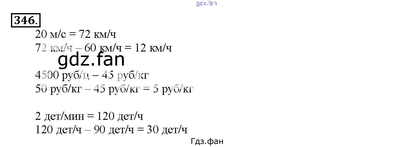
ГДЗ - онлайн ответы на 346 (стр. 105) Математика для 4 класса к Учебнику Перспективная начальная школа Чекин 2012

Проверка домашнего задания всегда занимает большое количество времени. На помощь приходит ГДЗ фан по Математике четвертого класса. Здесь собраны популярные ответы на 346 (стр. 105) Математика 4 класс Чекин А.Л.