Готовые домашние задания для школьников

ГДЗ - онлайн ответы на 6 (стр. 65) Математика для 2 класса к Учебнику Школа 2100 Демидова, Козлова 2016

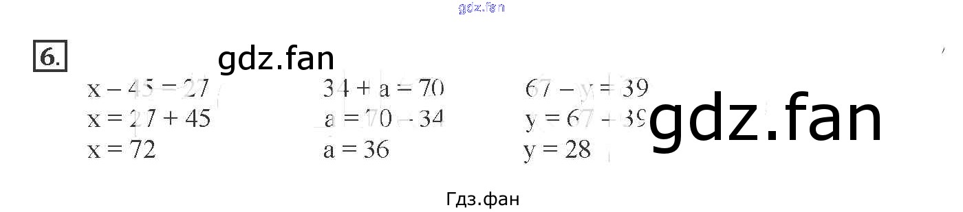
Проверка домашнего задания всегда занимает большое количество времени. На помощь приходит ГДЗ фан по Математике второго класса. Здесь собраны популярные ответы на 6 (стр. 65) Математика 2 класс Демидова Т.Е.