Готовые домашние задания для школьников

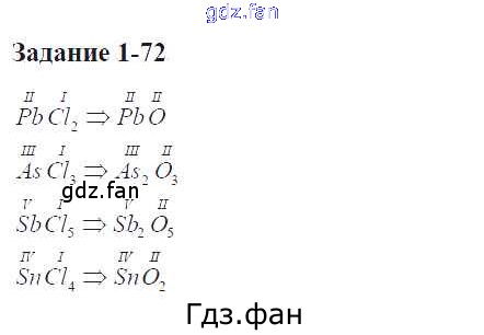
ГДЗ - онлайн ответы на 1. 72 (стр. 15) Химия для 8 класса к Задачнику Алгоритм успеха Кузнецова, Левкин 2015

Проверка домашнего задания всегда занимает большое количество времени. На помощь приходит ГДЗ фан по Химии восьмого класса. Здесь собраны популярные ответы на 1. 72 (стр. 15) Химия 8 класс задачник Кузнецова Н.Е.