Готовые домашние задания для школьников

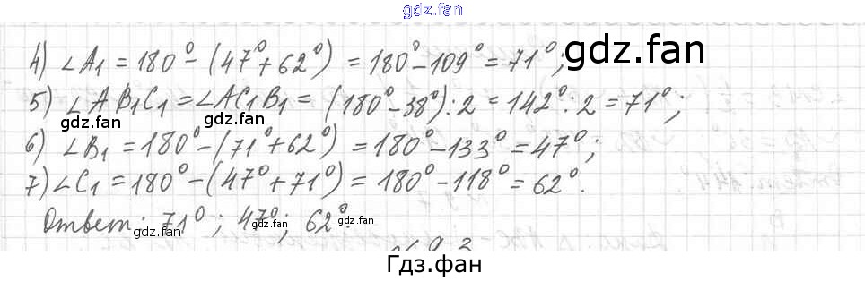
ГДЗ - онлайн ответы на 9.2 (стр. 69) Геометрия для 8 класса к Учебнику Алгоритм успеха Мерзляк, Поляков Углубленный уровень 2020

Проверка домашнего задания всегда занимает большое количество времени. На помощь приходит ГДЗ фан по Геометрии восьмого класса. Здесь собраны популярные ответы на 9.2 (стр. 69) Геометрия 8 класс углубленное изучение Мерзляк А.Г.