Готовые домашние задания для школьников

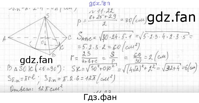
ГДЗ - онлайн ответы на 11.22 (стр. 91) Геометрия для 11 класса к Учебнику Алгоритм успеха Мерзляк, Номировский Базовый уровень 2019

Проверка домашнего задания всегда занимает большое количество времени. На помощь приходит ГДЗ фан по Геометрии одиннадцатого класса. Здесь собраны популярные ответы на 11.22 (стр. 91) Геометрия 11 класс Мерзляк А.Г.