Готовые домашние задания для школьников

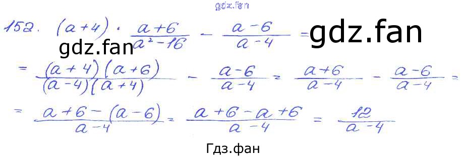
ГДЗ - онлайн ответы на 152 (стр. 146) Алгебра для 9 класса к Сборнику заданий Кузнецова, Бунимович 2008

Проверка домашнего задания всегда занимает большое количество времени. На помощь приходит ГДЗ фан по Алгебре девятого класса. Здесь собраны популярные ответы на 152 (стр. 146) Алгебра 9 класс сборник заданий Кузнецова Л.В.