Готовые домашние задания для школьников

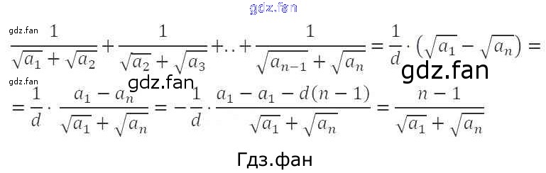
ГДЗ - онлайн ответы на 775 (стр. 295) Алгебра для 9 класса к Учебнику Колягин, Ткачева 2015

Проверка домашнего задания всегда занимает большое количество времени. На помощь приходит ГДЗ фан по Алгебре девятого класса. Здесь собраны популярные ответы на 775 (стр. 295) Алгебра 9 класс Колягин Ю.М.