Готовые домашние задания для школьников

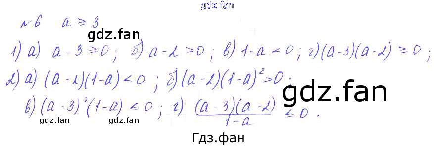
ГДЗ - онлайн ответы на 6 (стр. 20) Алгебра для 9 класса к Дидактическим материалам Евстафьева, Карп 2017

Проверка домашнего задания всегда занимает большое количество времени. На помощь приходит ГДЗ фан по Алгебре девятого класса. Здесь собраны популярные ответы на 6 (стр. 20) Алгебра 9 класс Дидактические материалы Евстафьева Л.П.