Готовые домашние задания для школьников

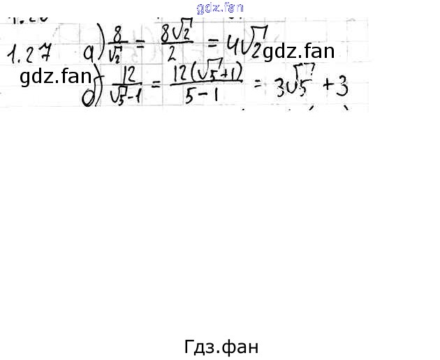
ГДЗ - онлайн ответы на 1.27 (стр. 17) Алгебра для 9 класса к Учебнику Арефьева, Пирютко 2019

Проверка домашнего задания всегда занимает большое количество времени. На помощь приходит ГДЗ фан по Алгебре девятого класса. Здесь собраны популярные ответы на 1.27 (стр. 17) Алгебра 9 класс Арефьева И.Г.