Готовые домашние задания для школьников

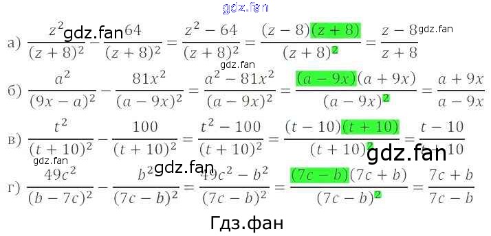
ГДЗ - онлайн ответы на 3.14 (стр. 20) Алгебра для 8 класса к Задачнику Мишустина, Мордкович Базовый уровень 2015

Проверка домашнего задания всегда занимает большое количество времени. На помощь приходит ГДЗ фан по Алгебре восьмого класса. Здесь собраны популярные ответы на 3.14 (стр. 20) Алгебра 8 класс задачник Мордкович А.Г.