Готовые домашние задания для школьников

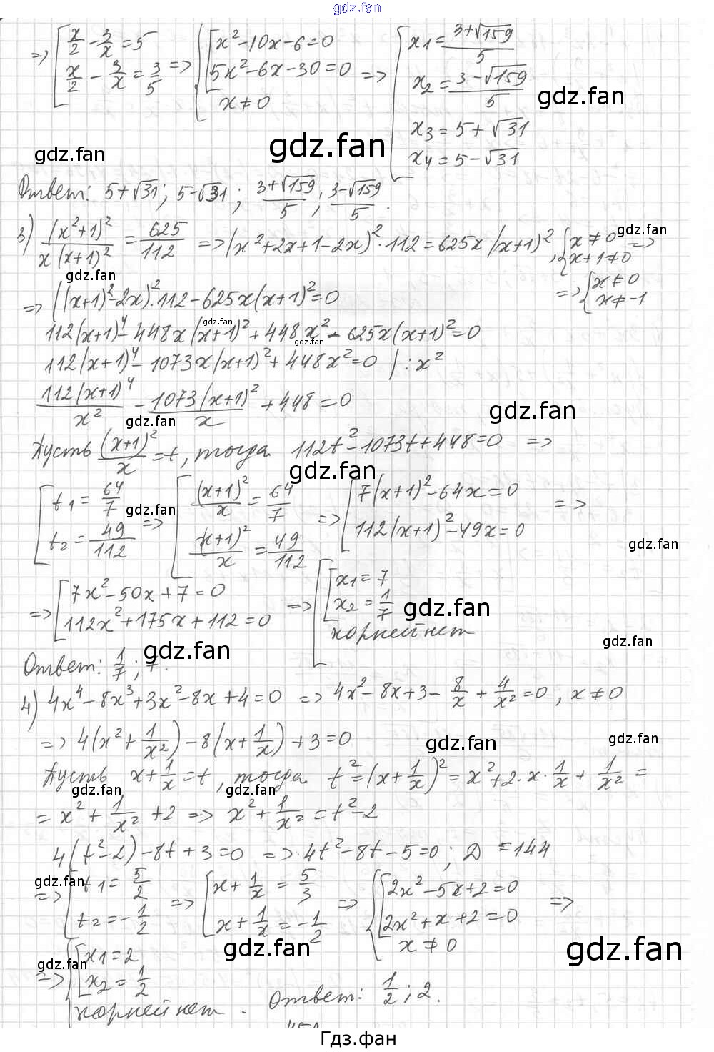
ГДЗ - онлайн ответы на 37.20 (стр. 320) Алгебра для 8 класса к Учебнику Алгоритм успеха Мерзляк, Поляков Углубленный уровень 2020

Проверка домашнего задания всегда занимает большое количество времени. На помощь приходит ГДЗ фан по Алгебре восьмого класса. Здесь собраны популярные ответы на 37.20 (стр. 320) Алгебра 8 класс Углубленный уровень Мерзляк А.Г.