Готовые домашние задания для школьников

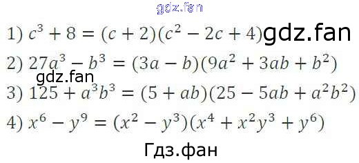
ГДЗ - онлайн ответы на 7 (стр. 3) Алгебра для 8 класса к Дидактическим материалам Алгоритм успеха Мерзляк, Полонский 2016

Проверка домашнего задания всегда занимает большое количество времени. На помощь приходит ГДЗ фан по Алгебре восьмого класса. Здесь собраны популярные ответы на 7 (стр. 3) Алгебра 8 класс Дидактические материалы Мерзляк А.Г.