Готовые домашние задания для школьников

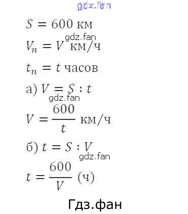
ГДЗ - онлайн ответы на 181 (стр. 46) Алгебра для 8 класса к Учебнику Макарычев, Миндюк 2016

Проверка домашнего задания всегда занимает большое количество времени. На помощь приходит ГДЗ фан по Алгебре восьмого класса. Здесь собраны популярные ответы на 181 (стр. 46) Алгебра 8 класс Макарычев Ю.Н.