Готовые домашние задания для школьников

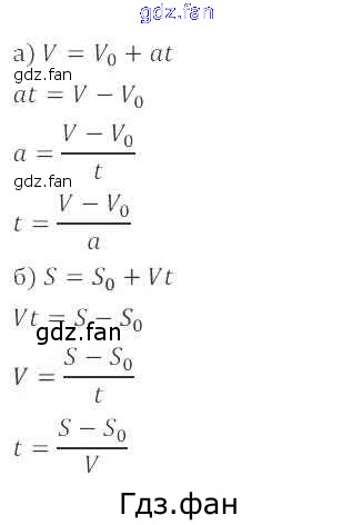
ГДЗ - онлайн ответы на 10 (стр. 9) Алгебра для 8 класса к Учебнику Дорофеев, Суворова 2014

Проверка домашнего задания всегда занимает большое количество времени. На помощь приходит ГДЗ фан по Алгебре восьмого класса. Здесь собраны популярные ответы на 10 (стр. 9) Алгебра 8 класс Дорофеев Г.В.