Готовые домашние задания для школьников

ГДЗ - онлайн ответы на 35 (стр. 238) Алгебра для 8 класса к Учебнику Арефьева, Пирютко 2018

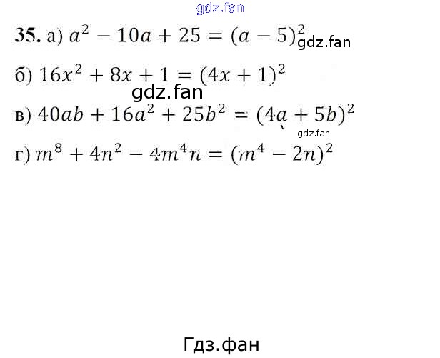
Проверка домашнего задания всегда занимает большое количество времени. На помощь приходит ГДЗ фан по Алгебре восьмого класса. Здесь собраны популярные ответы на 35 (стр. 238) Алгебра 8 класс Арефьева И.Г.