Готовые домашние задания для школьников

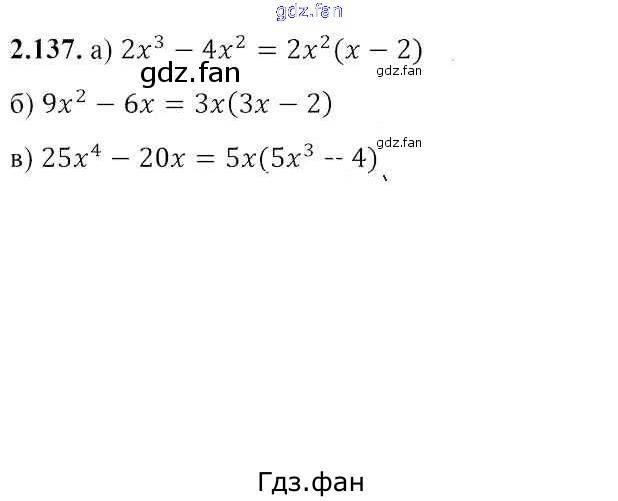
ГДЗ - онлайн ответы на 2.137 (стр. 113) Алгебра для 8 класса к Учебнику Арефьева, Пирютко 2018

Проверка домашнего задания всегда занимает большое количество времени. На помощь приходит ГДЗ фан по Алгебре восьмого класса. Здесь собраны популярные ответы на 2.137 (стр. 113) Алгебра 8 класс Арефьева И.Г.