Готовые домашние задания для школьников

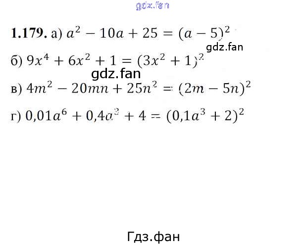
ГДЗ - онлайн ответы на 1.179 (стр. 37) Алгебра для 8 класса к Учебнику Арефьева, Пирютко 2018

Решебник №1

глава 1 / упражнение / 1.179

Решебник №2

глава 1 / упражнение / 1.179

Проверка домашнего задания всегда занимает большое количество времени. На помощь приходит ГДЗ фан по Алгебре восьмого класса. Здесь собраны популярные ответы на 1.179 (стр. 37) Алгебра 8 класс Арефьева И.Г.