Готовые домашние задания для школьников

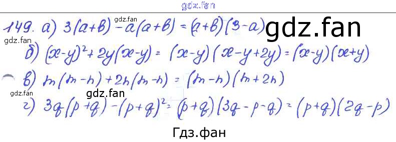
ГДЗ - онлайн ответы на 149 (стр. 202) Алгебра для 7 класса к Задачнику Мордкович, Александрова Базовый уровень 2013

Условия

глава 9. итоговое повторение / 149

Решебник

глава 9. итоговое повторение / 149

Проверка домашнего задания всегда занимает большое количество времени. На помощь приходит ГДЗ фан по Алгебре седьмого класса. Здесь собраны популярные ответы на 149 (стр. 202) Алгебра 7 класс задачник (базовый уровень) Мордкович А.Г. Часть 2