Готовые домашние задания для школьников

ГДЗ - онлайн ответы на 111 (стр. 199) Алгебра для 7 класса к Задачнику Мордкович, Александрова Базовый уровень 2013

Условия

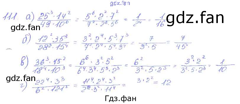
глава 9. итоговое повторение / 111

Решебник

глава 9. итоговое повторение / 111

Проверка домашнего задания всегда занимает большое количество времени. На помощь приходит ГДЗ фан по Алгебре седьмого класса. Здесь собраны популярные ответы на 111 (стр. 199) Алгебра 7 класс задачник (базовый уровень) Мордкович А.Г. Часть 2