Готовые домашние задания для школьников

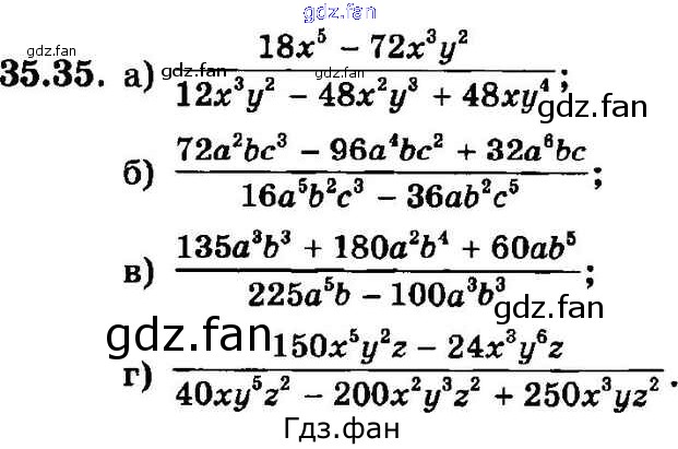
ГДЗ - онлайн ответы на 35.35 (стр. 155) Алгебра для 7 класса к Задачнику Мордкович, Александрова Базовый уровень 2013

Проверка домашнего задания всегда занимает большое количество времени. На помощь приходит ГДЗ фан по Алгебре седьмого класса. Здесь собраны популярные ответы на 35.35 (стр. 155) Алгебра 7 класс задачник (базовый уровень) Мордкович А.Г. Часть 2