Готовые домашние задания для школьников

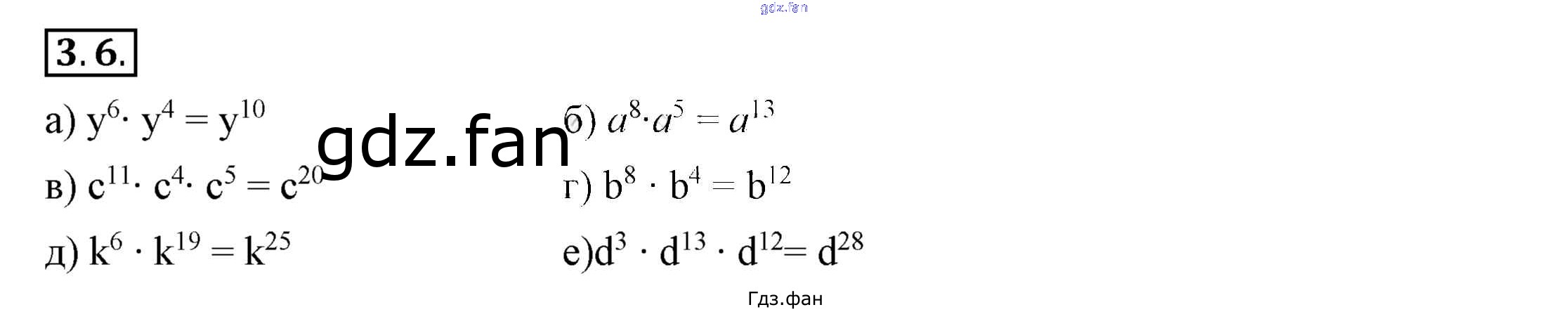
ГДЗ - онлайн ответы на 3.6 (стр. 29) Алгебра для 7 класса к Учебнику Мордкович, Семёнов 2018

Проверка домашнего задания всегда занимает большое количество времени. На помощь приходит ГДЗ фан по Алгебре седьмого класса. Здесь собраны популярные ответы на 3.6 (стр. 29) Алгебра 7 класс Мордкович А.Г.