Готовые домашние задания для школьников

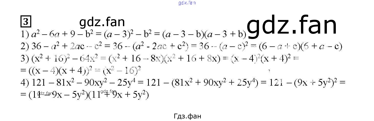
ГДЗ - онлайн ответы на 3 (стр. 104) Алгебра для 7 класса к Рабочей тетради Алгоритм успеха Мерзляк, Полонский 2018

Проверка домашнего задания всегда занимает большое количество времени. На помощь приходит ГДЗ фан по Алгебре седьмого класса. Здесь собраны популярные ответы на 3 (стр. 104) Алгебра 7 класс рабочая тетрадь Мерзляк А.Г.