Готовые домашние задания для школьников

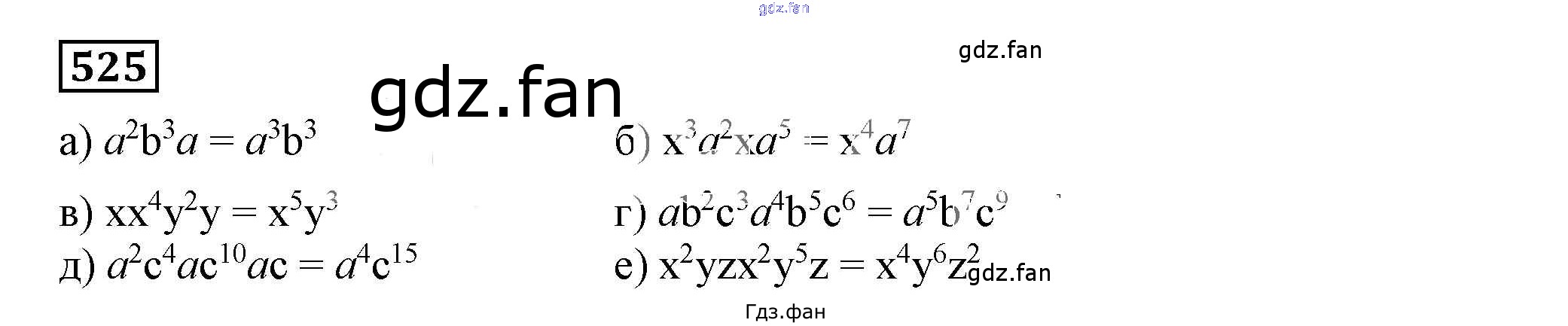
ГДЗ - онлайн ответы на 525 (стр. 165) Алгебра для 7 класса к Учебнику Академический школьный учебник Дорофеев, Суворова 2020

Проверка домашнего задания всегда занимает большое количество времени. На помощь приходит ГДЗ фан по Алгебре седьмого класса. Здесь собраны популярные ответы на 525 (стр. 165) Алгебра 7 класс Дорофеев Г.В.