Готовые домашние задания для школьников

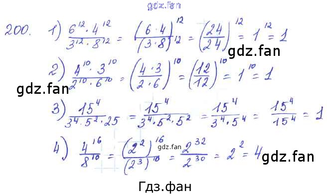
ГДЗ - онлайн ответы на 200 (стр. 54) Алгебра для 7 класса к Учебнику Алимов, Колягин 2014

Проверка домашнего задания всегда занимает большое количество времени. На помощь приходит ГДЗ фан по Алгебре седьмого класса. Здесь собраны популярные ответы на 200 (стр. 54) Алгебра 7 класс Алимов Ш.А.