Готовые домашние задания для школьников

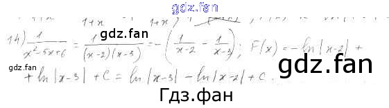
ГДЗ - онлайн ответы на Вариант 1 (стр. 106-107) Алгебра для 11 класса к Дидактическим материалам Шабунин, Газарян Базовый уровень 2013

Проверка домашнего задания всегда занимает большое количество времени. На помощь приходит ГДЗ фан по Алгебре одиннадцатого класса. Здесь собраны популярные ответы на Вариант 1 (стр. 106-107) Алгебра 11 класс дидактические материалы Базовый уровень Шабунин М.И.