Готовые домашние задания для школьников

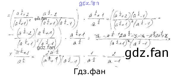
ГДЗ - онлайн ответы на Вариант 1 (стр. 42) Алгебра для 10 класса к Дидактическим материалам Шабунин, Ткачёва Базовый и углубленный уровень 2017

Проверка домашнего задания всегда занимает большое количество времени. На помощь приходит ГДЗ фан по Алгебре десятого класса. Здесь собраны популярные ответы на Вариант 1 (стр. 42) Алгебра и начала математического анализа 10 класс Дидактические материалы Шабунин М.И. (к уч. Алимова)