Готовые домашние задания для школьников

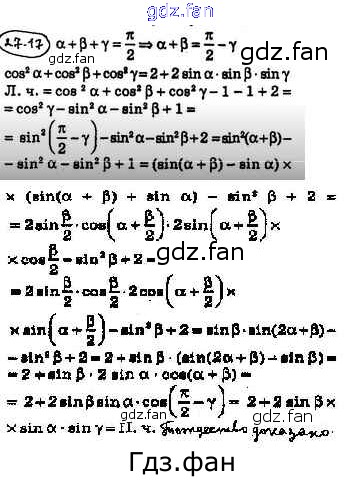
ГДЗ - онлайн ответы на 27.17 (стр. 200) Алгебра для 10 класса к Учебнику Алгоритм успеха Мерзляк, Номировский Углубленный уровень 2019

Проверка домашнего задания всегда занимает большое количество времени. На помощь приходит ГДЗ фан по Алгебре десятого класса. Здесь собраны популярные ответы на 27.17 (стр. 200) Математика: алгебра и начала математического анализа 10 класс Мерзляк А.Г.